
Notifications: Probe Committee
پی آر او نمبر294/23، مورخہ 23.07.2023
ڈائریکٹورٹ آف پبلک ریلیشنز،اسلامیہ یونیورسٹی بہاول پور
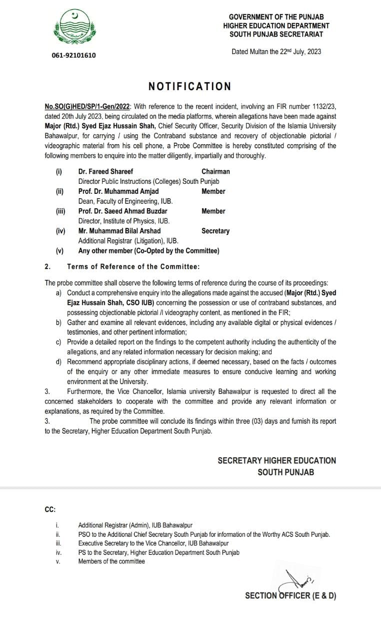
اسلامیہ یونیورسٹی بہاول پور کی انتظامیہ نے وائس چانسلر اسلامیہ یونیورسٹی بہاول پور انجینئر پروفیسر ڈاکٹر اطہر محبوب کی ہدایات پر یونیورسٹی کے دو افسران کے منشیات کے استعمال اور فروخت کے الزام میں گرفتاری کے بعد ایک اعلی اختیاراتی تحقیقاتی کمیٹی قائم کر دی ہے۔ اس کمیٹی کے سربراہ پروفیسر ڈاکٹر راؤ سعید احمد، چئیرمین ڈیپارٹمنٹ آف فارماسیوٹیکل کیمسٹری جبکہ ممبران میں پروفیسر ڈاکٹر محمد امجد، ڈین فیکلٹی آف انجینئرنگ، پروفیسر ڈاکٹر سعید احمد بزدار، ڈائریکٹر انسٹیٹیوٹ آف فزکس، محمد بلال ارشاد، ایڈیشنل رجسٹرار لٹیگیشن شامل ہیں۔ یہ کمیٹی دونوں افسران کے خلاف الزامات کی جامع تحقیق کرائے گی اور تمام دستیاب ڈیجیٹل، فزیکل اور دیگر گواہیوں پر مبنی مواد کا جائزہ لے گی۔ کمیٹی ممبران تمام امور کا شفاف اور غیرجانبدارانہ جائزہ لے کر تفصیلی رپورٹ پیش کریں گے اور الزامات ثابت ہونے پر انضباطی کاروائی کی سفارش کریں گے۔ کمیٹی نوٹیفیکیشن کے مطابق خزانہ دار پروفیسرڈاکٹر ابوبکراور چیف سیکیورٹی آفیسر میجر سید اعجاز حسین شاہ کو فوری طورپرتحقیقات مکمل ہونے تک معطل کر دیا گیا ہے۔ دریں اثناء ہائرایجوکیشن ڈیپارٹمنٹ ساؤتھ پنجاب نے بھی یونیورسٹی انتظامیہ سے رابطہ کر کے ایک مشترکہ تحقیقی کمیٹی تشکیل دید ی ہے۔ جس کے سربراہ ڈاکٹرفرید شریف، ڈائریکٹر پبلک انسٹرکشنز کالجز ساؤتھ پنجاب ہیں دیگر ممبران میں پروفیسر ڈاکٹر محمد امجد، ڈین فیکلٹی آف انجینئرنگ، پروفیسر ڈاکٹر سعید احمد بزدار، ڈائریکٹر انسٹیٹیوٹ آف فزکس، محمد بلال ارشاد، ایڈیشنل رجسٹرار لٹیگیشن شامل ہیں۔ یہ کمیٹی تین دن میں سفارشات سیکرٹری ہائر ایجوکیشن ساؤتھ پنجاب کو پیش کرے گی۔



© 2026 The Islamia University of Bahawalpur iub.edu.pk.